Page 101 - AERB AR
P. 101

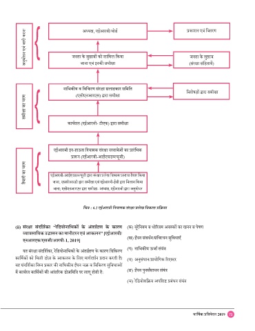
अध्यक्, एईआरबी/बोडजा
             अिुमोदि एवं रारी करिा  {  रि‍ता के  सुझावों को शानमि नकया                     प्रकाशि एवं नव‍तरण





                                                                                            रि‍ता के  सुझाव
                                        रािा एवं इिकी समीक्ा
                                                                                            (संरक्ा संनह‍तायें)







                                     (एसीएिआरएस) द्ारा समीक्ा
             समीक्ा का चरण  {   िानभकीय व नवनकरण संरक्ा सिाहकार सनमन‍त                     नवशेषज्ञों द्ारा समीक्ा





                                  कायजादि (एईआरबी- टीएफ) द्ारा समीक्ा




                  {        एईआरबी इि-हाऊस नियामक संरक्ा दस्‍तावेजों का प्रारंनभक


                                   प्रारूप (एईआरबी-आईएचडब्लयूरी)
             ‍तैयारी का चरण  एईआरबी-आईएचडब्लयूरी द्ारा संरक्ा प्रिेख नवकास प्रस्‍ताव ‍तैयार नकया




                          रािा, एससीआरडी द्ारा समीक्ा एवं एईआरबी-ईसी द्ारा नमिाि नकया
                           रािा; एसीएिआरएस द्ारा समीक्ा- अध्यक्, एईआरबी द्ारा अिुमोदि



                                         न‍चत्र : 6.1 एईआरबी नियामक संरक्षा प्रलेख निकास प्रनरिया




        (ii) संरक्ा  संदनशजाका  “रेनडयोिानभकों  के   अंतग्रजाहण  के   कारण  (क) यूरेनियम व थोररयम अयस्कों का खिि व पेषण
            वयावसानयक उद्ासि का मािीटरि एवं आकलि” [एईआरबी/
            एिआरएफ/एसरी/आरपी-1, 2019]                         (ख) ई ं िि संविजाि/संनवरचि सुनविाएँ

            यह संरक्ा संदनशजाका, रेनडयोिानभकों के  अं‍तग्रजाहण के  कारण नवनकरण   (ग)  िानभकीय ऊराजा संयंत्र
        कानमजाकों को नमिी डोज के  आकिि के  निए मागजादशजाि प्रदाि कर‍ती है।   (घ) अिुसंिाि/प्रायोनगक ररएक्टर
        यह संदनशजाका निम्ि प्रकार की िानभकीय ई ं िि चक्र व नवनकरण सुनविाओं
        में कायजार‍त कानमजाकों की आं‍तररक डोजनमन‍त पर िागू हो‍ती है:   (ङ) ई ं िि पुिससंसािि संयंत्र

                                                              (च) रेनडयोसनक्रय अपनशटि प्रबंिि संयंत्र








                                                                                              वार्षिक प्ररिवेदन 2019  73
   96   97   98   99   100   101   102   103   104   105   106